扫地僧站群提供技术支持

焕章信息网

  • 首页
  • 百科
  • 知识
  • 科普
  • 生活
  • 热点知识
  • 科普

太原各校高中录取分数线如何划定 太原市中考分数线

2026-01-20 05:21 12K 1

一、太原各校高中录取分数线如何划定

1、太原市各校高中录取分数线是根据所有孩子题型的难度考试的分数,每个学生报考学校的志愿来定分数线,每个学校的招生人数来划定。

2、三大校的分数每年最高,因为中考是估分报志愿 ,有些学校报的人数多,学校招生计划是有限的,分数就自然高, 报的人数少,分数肯定低!

二、山西2023年中考分数线预测

国家教育改革,中考难度减低,覆盖知识面多,2021年太原市普高分数线440分2022年465分,2023年基本在470分,如果要重点高中的话在570分有可能,几大名牌高中610分有机会。

三、2021年太原市中考科目分值

1、

2021年太原市中考各科总分是730分,其中语文满分120分,数学满分120,英语满分120分,理科综合150分,其中物理满分80分,化学满分70分,文科综合150分,其中政治满分75分,历史满分75分。体育满分50分,物理化学实验操作满分10分,信息考试满分10分。

2、

3、在太原如果想考上山大附中,省实验中学,太原五中这样的三大名校,一般录取分数在690左右,如何实现这样的目标呢?第一,体育,实验,和计算机必须得的满分,这就是70分。第二,语文不能低于110,作文几乎要满分,或者很少丢分。数学不能低于114,除了最后一道压轴题动点问题和填空题最后一道,其他的几乎都要得满分。外语不得低于114,作业必须是书写优美的衡水体,否则很难得满分。第三,物理不能低于75,化学必须要接近满分,这就要求答题一定要严谨规范。第四,政治和历史不能低于67分,这两课选择题必须要全对。满足以上四点,祝贺你,基本就可以考上三大校了。

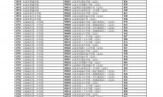
太原市中考分数线

4、

太原市中考分数线

5、

四、2022太原中考分数线算体育分吗

1、算。

2、2022年我省中考取消体育、信息技术和理化试验三门考试后,总分660分。太原市将今年普通高中最低录取控制线定为460分。其中,普通高中招生录取办法和往年相同,普通高中体育、艺术类特长生录取时,考生中考成绩和专业成绩必须达到一定分数线,才可投档。

五、2021年太原市中考录取分数线多少

2021年中考分数线是要等6月22日后中考结束了才能确定的,因为2021年太原的中考工作还没有进行,所以2021年太原中考录取分数线目前还无法确定!

焕章信息网
焕章信息网分享百科知识,百科经验,经验知识,百科问答,科普,中文百科,生活百科,生活小窍门,生活常识,科技百科的百科知识网,为大家提供各类百科知识
推荐阅读
  • 一场足球多长时间 中场休息多长时间
  • 汪姐私房菜叉烧怎么做 汪姐私房菜贵死了
  • 兔八哥里的狼叫什么 兔八哥和达菲鸭
  • 周大福一鹿有你项链值得购买吗 周大福男士黄金项链
  • 06世界杯意大利的战绩情况 巴西与意大利世界杯交锋战绩
  • DNF100版本狂战士技能加点 dnf85狂战士加点
  • 没网怎么安装显卡驱动 dell显卡驱动
  • 泡泡堂如何注册 泡泡堂账号注册
  • 魔兽世界轮回服采矿路线 魔兽世界大灾变地图
  • cf怎么邀请好友回归 cf邀请玩家回归规则
评论 (1)
取消
  • 焕章信息网

    本文《太原各校高中录取分数线如何划定 太原市中考分数线》希望能帮助到你!

    2026年01月
热门文章
王刚代言的瓷砖是什么牌子 王刚代言的网站
176
魔兽世界挂多久会自动掉线 魔兽世界登陆就断开
135
如何买游戏充值卡 游戏充值卡
136
2022年世乒赛哪里表现出我国是体育强国 2022世乒赛参赛国家有多少个参赛运动员有多少人
174
自动粘盒机喇叭口怎么调 自动糊盒机
173
上海公交巴士停运了吗 上海一公交失控坠河
135
2022年残奥会会徽是什么 2022北京奥运会共有几个项目
100
2023-2024cba全明星在哪里 2024cba扣篮大赛决赛时间
102
5 游戏王中暗游戏是第几集出场的 游戏王gx179
188
虎牌保险柜是水泥的吗 石家庄虎牌保险柜
193
文章推荐
荐 PSV连接电脑没一会就断开,怎么破 psv连接电脑
荐 如何证明3515强人军靴是正品呢 3515强人军靴
荐 cba2022季后赛附加赛规则 cba2022-2023赛季季前赛时间
荐 世界之蛇有多少米 现存世界上最大的蛇
荐 全亚洲有多少个国家组成 亚洲有多少个国家
荐 淘宝好评可以改评价么 中评改好评
荐 倩女幽魂京师怎么堆火抗 倩女幽魂门派闯关
荐 云客服怎么抢名额 线上云客服
荐 内马尔世界杯拿过冠军吗 内马尔拿过世界杯冠军吗
荐 新还珠格格吻戏都在第几集,啊 新还珠格格吻戏大全
荐 2021年10月25日是情人节 2021年有几个情人节
荐 西安木工上门维修 西安电脑上门维修
荐 朱竹清和沐白是哪个国家 戴沐白和朱竹清身份
荐 举例说明知名度在广告记忆中的作用 知名度广告
Copyright © 2018-2026 焕章信息网. All rights reserved. Designed by 扫地僧站群技术支持. ICP备案号
  • 宁波市分站
  • 武汉市分站
  • 友情链接
  • 扫地僧站群
  • SEO学习网
    • 首页
    • 百科
    • 知识
    • 科普
    • 生活
    • 热点知识
    • 科普